发布时间:2026-03-10 浏览次数:7

肾移植受者因尿毒症肌病等问题,常面临外周肌、呼吸肌功能下降,身体活动能力远低于健康人群,常规体能训练还可能受身体状况限制,如何找到安全有效的替代训练方式,一直是临床和患者关注的重点。
而一项针对肾移植受者的 12 周临床研究,为我们带来了新答案 ——全身振动(WBV)训练,这种借助振动平台的训练方式,不仅全程无并发症、安全性有保障,还能在部分维度改善患者的身体机能和生活质量,或许能成为肾移植受者的优质体能训练选择!

这项由巴西、西班牙、葡萄牙多所高校联合开展的研究,发表于《Physiother Res Int》,共纳入 5 名肾移植受者(年龄 43-52 岁,3 男 2 女),均排除了不稳定高血压、肌肉骨骼疾病等禁忌症,且全程使用免疫抑制剂。研究为受试者制定了标准化的 12 周 WBV 训练方案:每周训练 2 次,采用 35Hz 恒定频率,振幅从 2mm 逐步调整至 4mm,训练时长从 10 分钟逐步增加到 20 分钟,训练时受试者保持半蹲姿势,双手抓握平台,全程安全可控。
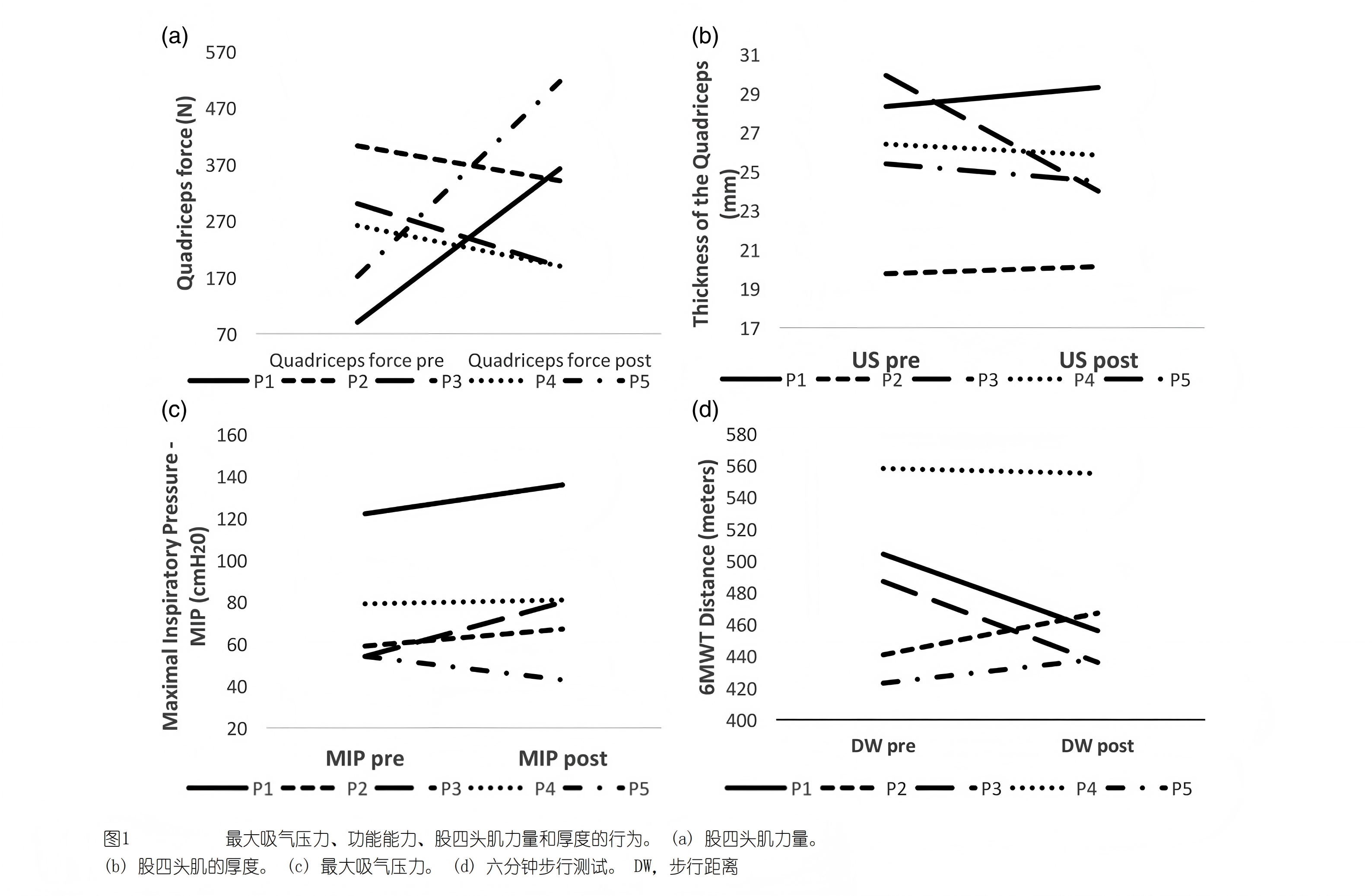
研究通过股四头肌力量 / 厚度、6 分钟步行测试(6MWT)、吸气肌力量、生活质量(SF-36 量表)四个核心维度,全面评估训练效果,结果虽未实现全员全维度改善,但在多个关键指标上展现出积极作用,且所有参与者均对训练方案表示满意,无任何不良影响。
在肌肉力量与厚度方面,5 名受试者中有 2 人(P1、P5)股四头肌力量显著提升,分别增加 272N 和 345N;1 人(P1)股四头肌厚度增加 0.97mm。这一结果印证了 WBV 训练对肌肉募集的刺激作用,即便肾移植受者因长期使用皮质类固醇等免疫抑制剂存在肌病风险,仍能通过该训练实现肌肉力量的提升。
呼吸肌功能改善上,研究中 4 名受试者原本存在吸气肌无力问题,经训练后,1 人(P3)最大吸气压力提升 26cmH2O,呼吸肌力量得到有效改善。研究者分析,训练时抓握平台的姿势会将振动传递至肩胛带,间接刺激呼吸辅助肌肉,这也是 WBV 训练的独特优势之一。

功能活动能力上,2 名受试者(P2、P5)的 6 分钟步行距离明显增加,分别提升 26m 和 15m,其中 P5 同时伴随股四头肌力量的提升,说明肌肉力量的改善直接助力了日常活动能力的提高,而这两名受试者本身有一定的活动基础,也提示运动基础与训练效果存在正向关联。
生活质量的提升则成为本次研究的一大亮点!多数受试者在疼痛和社交方面改善尤为显著:3 人(P1、P2、P3)的疼痛评分大幅提高,4 人(P2、P3、P4、P5)的社交维度评分明显上升,心理健康评分也有不同程度改善。即便部分受试者的身体机能指标未明显变化,体育锻炼带来的心理愉悦感仍让其生活质量得到提升,这对肾移植受者的身心康复至关重要。
当然,研究也指出了本次试验的局限性,比如样本量较小、受试者个体特征存在异质性,且并非所有受试者都能在各项指标上获得改善,这也引出了核心结论:全身振动训练对肾移植受者是安全的,且能改善部分患者的身体机能和生活质量,但训练处方需根据患者个人情况、疾病特征个性化调整。
之所以会出现个体效果差异,原因是多方面的:肾移植受者的移植后时间、肾脏替代治疗时长、基础身体活动水平、肾小球滤过率(GFR)等指标均不同,且长期使用的免疫抑制剂可能加重肌肉损伤,这些因素都可能影响训练反应。因此,未来为肾移植受者制定 WBV 训练方案时,需充分评估其个体状况,灵活调整振幅、时长、训练频率等参数,才能最大化发挥训练效益。
作为首次针对肾移植受者开展的 WBV 训练研究,这项成果填补了临床空白,为肾移植受者的术后康复训练提供了新的思路。以往肾移植受者因身体限制,常缺乏合适的体能训练方式,而 WBV 训练操作简便、强度可控、无需大幅肢体运动,适配性更高,是一种极具潜力的替代体能训练方法。
同时,研究也为后续临床研究和实践指明了方向:未来需要扩大样本量,开展更具针对性的随机对照试验,进一步探索适合不同特征肾移植受者的最佳 WBV 训练参数,明确训练的长期效果,让这种训练方式更科学、更精准地服务于肾移植受者的身心康复。
对于肾移植受者而言,术后康复并非一味静养,科学的体能训练才能更好地提升身体机能、改善生活质量。全身振动训练的出现,为他们打开了新的康复大门,而随着临床技术与康复设备的不断发展,更专业、更适配的产品也为这一训练方式的落地提供了坚实支撑,羽丰医疗的振动训练系统与六分钟步行试验相关设备,正是这一领域的优质选择。

羽丰医疗的振动训练系统深度契合全身振动训练的核心临床需求,其基于人体行走步态设计的左右交替倾斜运动模式,能精准模拟行走时的骨盆交替倾斜,高效激活全身肌群,且振幅可在 0mm-4.5mm 间灵活调节,频率也能根据康复需求适配调整,完美匹配肾移植受者个性化的训练参数要求。该系统不仅能提升肌肉力量、改善平衡能力与心肺耐力,还能最大程度降低对头部的冲击,搭配弧形安全扶手、辅助站立支架等设计,为行动不便、平衡能力较差的肾移植受者提供了安全的训练保障,多款机型还覆盖了坐、站、躺等多种训练姿势,即便是无法独立站立的患者也能开展康复训练,充分适配肾移植受者的身体特点。


而羽丰医疗的六分钟步行试验(6MWT) 设备,更是为肾移植受者的功能能力评估提供了精准、便捷的解决方案。该设备严格遵循国际标准设计,通过无线通讯方式实时监测心电、血压、血氧等多项生理指标,自动精准计算步行距离,距离误差小,还能生成多维数据分析报告,全面呈现患者的心肺功能与运动能力状态。同时配备手持 PAD 工作站和台车 PC 工作站两种模式,可满足不同场地的评估需求。
从临床研究的理论支撑,到专业设备的实践落地,羽丰医疗将全身振动训练与六分钟步行试验的临床价值充分转化,为肾移植受者的术后体能康复打造了可行的方案,让科学的康复训练真正触手可及。
注:本文研究成果来自《全身振动是肾移植受者的替代体能训练方法吗?》(Physiother Res Int,2020),临床应用需在专业医生 / 康复师指导下进行。