发布时间:2022-04-20 浏览次数:4113
TrenthamFurness、CoreyJoseph、GeraldineNaughton、LiamWelsh5和ChristianLorenzen
摘要
背景:基于社区的全身振动(WBV)作为一种运动训练模式对慢性阻塞性肺病(COPD)患者的益处尚未得到调查。如果可以确定WBV的功效,则WBV的低技能需求可能会增强COPD患者对身体活动的习惯可持续性。该试验的目的是比较基于社区的WBV干预与假WBV(SWBV)干预,并监测COPD患者下肢的恶化、运动耐量和功能表现。方法:临床诊断为COPD的GOLD社区成人被招募参加试验。这是一项II期疗效试验,交叉到假干预,并穿插两周清除。每个六周的干预包括每周两次的WBV或SWBV。干预是在每个参与者的家中在监督下完成的。结果测量选择了对运动的心理(感觉呼吸困难)和生理(心率和氧饱和度)反应、模拟日常生活活动(定时测试和5椅子站立测试),以及选择的步态运动学变量在为期14周的试验中。结果:招募了16名患有稳定期慢性阻塞性肺病的成年人参加试验。在WBV或SWBV干预期间没有报告恶化。WBV后,日常生活活动能力(ADLs)和步态得到改善(p≤0.05),而SWBV后没有变化(p>0.05)。尽管在清除期间有五次退出,但每六周干预的依从性均为100%。结论:结果表明,WBV不会加重可能与缺乏身体活动有关的COPD症状。与SWBV干预相比,WBV干预改进了模拟ADL的测试,例如从椅子上站起来、转身和步行步态。如果安慰剂效应对WBV干预是全身性的,则该效应可以忽略不计。作为一种独立的基于社区的干预措施,WBV是一种有效的运动训练模式,适用于稳定期COPD患者,不会对运动耐量产生负面影响或加剧疾病,同时还能改善下肢的功能表现。
关键词:COPD,运动,全身振动,功能表现,下肢,功能独立
作为COPD管理的基石,肺康复的最低目标是维持运动耐量和日常生活活动(ADL)作为肺康复的组成部分,阻力训练和有氧调节模式的功效已被描述为慢性阻塞性肺病患者的呼吸困难,并可能因害怕呼吸困难而导致体力活动减少,可以减少呼吸困难的运动训练模式的临床和社会价值可能会增加肺康复干预对COPD患者的益处。最近,研究了全身振动(WBV)对慢性阻塞性肺病患者下肢肌肉力量和肌肉力量的影响。与肺康复相结合,WBV可能增强了运动耐量,并且不会引起疾病的恶化。作为一项独立的门诊干预,WBV提高了COPD患者的功能能力。然而,在结构化肺康复和其他门诊护理模式之后,WBV作为一种独立的基于社区的运动训练模式对个人具有吸引力,其效果需要进一步研究。目前尚不清楚长期以社区为基础的WBV干预是否会引起COPD的恶化,例如呼吸困难或低氧血症的增加,或者WBV干预是否会被患有稳定COPD的社区成年人很好地耐受和坚持。因此,这项II期疗效试验的目的是报告基于社区的独立WBV干预对COPD患者ADL和步态表现的长期益处,以及对呼吸困难、心率和氧饱和度的急性影响。
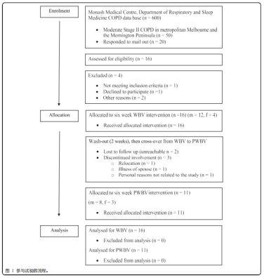
这项II期疗效试验与一项非随机、交叉设计竞争.患有慢性阻塞性肺病的参与者提供了知情同意,首先分配给;六周WBV干预,然后六周假WBV(SWBV)干预。WBV和SWBV干预之间穿插了两周的清洗间隔。在为期14周的试验期间,在基线和随后的两周收集数据。参与者每周完成两次培训课程。参与者同意在为期14周的试验期间不开始超出常规的体育活动。该试验得到了南方健康人类研究伦理委员会A和澳大利亚天主教大学人类研究伦理委员会的批准。该试验已在澳大利亚新西兰临床试验注册中心(ACTRN12612000508875)注册。
通过介绍信联系了蒙纳士医学中心睡眠和呼吸内科的GOLD诊断为COPD的患者,以了解他们对试验的兴趣。为了纳入试验,潜在的参与者必须表现出稳定的慢性阻塞性肺病,住在完全独立的住宅中,并且有能力提高运动耐量。然而,相关的呼吸困难和低氧血症会限制对肺康复干预的依从性因此,特别需要针对慢性阻塞性肺病患者进行安全有效的运动干预。旨在协助促进习惯性和可持续的运动训练并减少慢性阻塞性肺病的负担,一个强有力的证据支持需要程序设计。两种常见的运动训练模式;有氧调节和阻力训练,通常会加剧完成ADL.潜在的参与者还必须没有自我报告的WBV禁忌症并成功完成一系列平衡、视力和认知测试.如果潜在参与者目前正在接受皮质类固醇治疗或在试验开始前六个月之前经历过自我报告的COPD恶化,则他们被排除在外。
自变量是具有两个水平的“干预”:(1)WBV和,(2)SWBV,以及具有三个水平的“测试场合”:(1)测试前,(2)测试中,和(3)测试后-测试。因变量是:(1)急性运动耐量(感知呼吸困难、心率和氧饱和度的评分),和(2)长期功能表现(定时启动测试、5椅子站立测试、步长、步幅时间和步幅速度)。在最终WBV或SWBV回合之前和期间收集急性数据.在WBV或SWBV发作后至少48小时收集长期数据.使用BorgCR-10VAS评估感知呼吸限制来量化急性运动耐量.还对心率、氧饱和度和血压进行量化。对于三个因变量,测试程序的可靠性不低于“可接受”(ICC≥0.700).定时启动测试(TUG)和5椅子站立测试(5-chair)用于模拟ADL并描述长期功能表现。
每次训练时,同侧交替振动平台(AmazingSuperHealth,墨尔本,澳大利亚)被运送到参与者家中。对于每个WBV回合,振动平台频率设置为25Hz,峰值位移为2.0mm,峰值加速度为~24.67m.s−2,产生的重力为~2.52g。振动平台峰峰值位移和频率的有效性在试验开始前确定。开发了一个原型振动平台来提供SWBV干预。对于每个SWBV回合,振动平台频率为25Hz,峰峰值位移为~0.0mm,峰值加速度为~0.00ms−2,重力为~0.0g(已知地球的重力恒定为1.0g).当原型振动平台运行时,参与者可以听到电机运转的声音,并且可能感觉到振动。参与者被告知SWBV干预是一种“超低频”振动干预,与WBV干预“非常不同”。参与者穿着平底鞋。根据国际肌肉骨骼和神经元相互作用协会推荐的方法检查打滑。参与者被告知以弯曲的膝盖姿势站立,该姿势可以在每次WBV和SWBV回合期间保持。每次回合30秒后,用测角仪手动检查膝关节屈曲度。在WBV期间,参与者站立时膝盖弯曲至53°(SD±10°)。在SWBV期间,参与者站立时膝盖弯曲至44°(SD±14°)。
先前描述了具有功率计算的样本大小.简而言之,所需的样本量(基于α=0.05、β=0.90和n=14的配对t检验)对于5椅子测试为n=16,对于TUG测试为n<10。根据模拟的ADL因变量,需要16名参与者的样本。确认正常后使用StatisticalPackageforSocialScientists(SPSS版本19.0,ChicagoIL™)计算了WBV和SWBV的急性和长期数据的重复对比方差分析。效应大小被描述为部分eta-squared(部分η2)。对于长期功能性能结果,在p≤0.05时接受显着性。为了最大限度地减少长期步态结果的家庭错误率的可能性,在p≤0.02时接受显着性。
共有15名GOLDII期COPD参与者和一名GOLDIII期COPD参与者被招募到试验中,对这两种干预措施的依从性均为100%(图1).人口统计学和疾病特征见表1.急性和长期结果见表2.WBV或SWBV对感知呼吸困难和氧饱和度评分没有急性影响(p>0.05)(表1)WBV干预使心率增加多达12beats.min−1p≤0.05)。SWBV干预使心率增加了7次/分−1p>0.05)。全身振动提高了TUG(13%)和5椅测试(18%)(p=0.01)的性能。在WBV的前三周,TUG改善0.5秒(部分η2=0.28,功率=0.99),然后在六周后额外0.9秒(部分η2=0.41,功率=0.95)。全身振动也将三周后5椅测试的性能提高了2.1秒(部分η2=0.50,功率=0.95),在第6周提高了1.4秒(部分η2=0.49,功率=0.94)。SWBV对模拟的ADL没有影响(p>0.33)。TUG(2%)和5椅子(1%)测试的性能均在±0.2秒内。WBV后步态的运动学变量得到改善(p=0.01)。对于步幅长度,影响大小至少为部分η2=0.24,对于步幅时间,部分η2=0.14,对于步幅速度,部分η2=0.72。SWBV对步态的运动学变量没有影响(p>0.10)。
这项II期疗效试验的结果支持使用基于社区的独立WBV干预来改善COPD患者下肢的功能表现,同时避免疾病恶化。此外,WBV在改善功能表现方面比SWBV更有效,但与运动耐量的急性标志物相当。这些发现支持我们早期将WBV作为一种无呼吸困难的体力活动模式的概念验证试验。
该试验的结果优于其他对COPD患者进行阻力训练和有氧调节的调查。经过12周的两种训练模式后,对于COPD患者,BorgCR-10VAS值在阻力训练和有氧调节内和之间没有差异.然而,在进行六分钟步行测试期间,感知到的呼吸困难增加到“6”的值.同时,血氧饱和度从95%降至87%并且在对慢性阻塞性肺病患者的其他运动调查中已降至相似值.本试验中WBV的影响在用于定义低氧血症的氧饱和度下降>4%范围内.对于轻度至中度慢性阻塞性肺病患者,长期体力活动可通过改善氧饱和度对代谢过程产生积极影响。然而,对于该试验的参与者,整个WBV干预期间呼吸困难和氧饱和度没有有意义的变化。因此,如果慢性阻塞性肺病患者的代谢过程因WBV而增加,则BorgCR-10VAS和SpO2不会代表这种变化。然而,正如该试验中心率增加所证明的那样,代谢活动显示出增加。在整个试验过程中,WBV期间的心率比SWBV期间增加得更多。其他人报告称,在WBV期间,由于健康状况不佳,心率也会出现类似的增加和健康的老年人.鉴于人体对身体活动的已知和广泛的生理反应,WBV可被视为增加COPD患者代谢活动的有效模式。

在这项试验中,COPD患者在WBV后TUG测试(13%)和5椅测试(18%)的性能改善大于健康的两个月WBV干预后报告的6%和12%的改善。老年人。鉴于本试验参与者的社区居住健康状况欠佳,WBV后COPD患者ADL表现的改善潜力可能会更大。对COPD患者进行为期三周的阻力训练与WBV干预相结合,将完成5椅测试所需的时间缩短了4.0秒.该功效试验的结果显示,在6周的独立WBV干预后,5椅子测试的性能降低了3.4秒。对于慢性阻塞性肺病患者,60秒后起立椅子和爬楼梯在阻力训练和有氧调节后得到改善.与阻力训练相比,WBV对COPD患者的效果不如抗阻训练,因为TUG测试的改进经过12周的阻力训练后,表现为67%相比之下,本次试验为13%。然而,为了实现如此大的改进,阻力训练干预需要监督和家庭通常不具备的设备。

以前,WBV与肺康复并作为独立的门诊干预提高了六分钟步行测试的性能。该试验的参与者在WBV干预后以更快的速度行走,这可能支持先前的研究结果。同样,在健康老年人中进行8周的阻力训练和WBV组合将步长从61厘米延长到65厘米(7%).步幅长度该试验的参与者长了13厘米(11%),这与健康老年人在阻力训练干预后≥14厘米的改善相似.据报道,COPD患者在阻力训练和有氧调节后的步态速度也有类似的效果。具体来说,速度从0.89m增加了13%。秒−1至1.01米秒−1.在该试验中COPD患者的步速增加12%与之前的结果相似,范围为14%至30%对于患有慢性阻塞性肺病的人。对于健康的老年人,阻力训练后步态速度提高12%被描述为改善步态的有吸引力的策略.与本试验相比,WBV也可能是改善COPD患者步态的有吸引力的策略。
在对慢性阻塞性肺病患者进行体能训练和抗阻训练(例如,骨骼肌肥大和氧化能力增加)时,以类似的视角看待本次试验后慢性阻塞性肺病患者功能表现改善的可能机制可能是合适的。然而,鉴于慢性阻塞性肺病患者在运动期间主要的II型肌纤维活动导致无氧疲劳增加,WBV后COPD患者功能表现的改善可能部分归因于II型骨骼肌纤维的训练,而不是例如肌肉氧化能力的增加。鉴于已知的COPD患者由于旨在改善无氧运动表现的高强度运动而表现出腿部疲劳,以及与症状受限参与相关的运动依从性差的持续存在,WBV最初可能是对COPD患者更具吸引力的运动训练模式。
所有参与者都成功完成了所有WBV和SWBV会话,但是,参与者人数在本试验的14周期间减少了。

参与者退出是由于在淘汰期超出研究需求的情况(图1).由于肺康复依从性的重要性已被记录并且存在问题,参与者遵守100%的WBV干预是有意义的。作为一种维持运动耐量、避免COPD恶化、改善下肢功能表现的运动训练方式,这种WBV干预的有效性可以得到证实。与其他干预措施相比,本试验的100%依从性是独一无二的。三个月阻力训练研究项目的辍学率从20%到38%不等.在某些情况下,健康成年人的依从性最多为79%低至75%用于阻力训练干预。症状限制是COPD患者肺康复期间依从性差的主要原因.鉴于只有48%的澳大利亚老年人进行体育锻炼,开展此类活动不会使健康状况不佳的人恶化,这一点很重要。本试验中使用的以社区为基础的WBV干预的结果证实了WBV的简易性和便利性,突出了最大的依从性和WBV干预期间没有辍学的情况。然而,由于WBV和SWBV干预措施的监督性质,可能已经发生了合规性。由于家中的身体活动通常是无人监督的,因此未来应该对慢性阻塞性肺病患者进行WBV随机对照试验和长期无人监督的习惯可持续性。
该试验仅限于参与者;(1)营养、运动史、动机和其他环境支持机制,以及(2)目前或过去对COPD的药物治疗(皮质类固醇除外)未进行分析。此外,与一些阻力训练干预类似,需要考虑WBV作为社区环境中独立运动训练模式的实际适用性,因为振动平台的成本可能会限制可及性。可能是参与者达到了限制SWBV期间进一步改善的“上限”,因此,安慰剂效应可能对WBV干预具有系统性。也可能是这样;(1)简单地站在原型振动平台上并弯曲膝盖就足以刺激WBV后保持改善,或(2)尽管要求在WBV干预期间不要开始任何新的身体活动模式,但参与者在WBV干预后身体活动更加活跃为期14周的试用期。来的研究应侧重于随机对照试验,以更全面地描述WBV和影响人们的潜在安慰剂的影响与COPD并描述独立的基于社区的WBV干预措施的经济可行性和长期恶化。
这是第一个量化和描述独立WBV干预对社区环境中COPD患者下肢运动耐量和功能表现的益处的试验。WBV和SWBV干预均在每个参与者的家中进行,这最大限度地提高了参与者对每次干预的依从性。这项II期试验的结果证实了WBV干预对改善COPD患者下肢功能表现的有效性。对于COPD患者来说,全身振动是一种耐受性良好的运动训练模式,其特点是没有COPD恶化